Dienstag, 6. Oktober 2015

Einstufige prozesse

Einstufige prozesse

Musteraufgaben des Oberschulamts Karlsruhe zum Thema In der Schule behandelte mehrstufige Prozesse zeichnen sich aus durch eine Ausgangssituation und eine Vorschrift, durch die diese Ausgangssituation in. Zentrifugalextraktor 2 Mehrstufiger Zentrifugalextraktor 3 Mehrstufige Prozesse 4 Weblinks. ALLE Videos auf m (werbefrei, kategorisiert) Womit kann ich einen Kostenvektor multiplizieren?

Jedem Prozess wird vom Betriebssystem ein virtueller Speicher von 4 GiB zugewiesen. Prozessmatrizen, einstufige Prozesse - Teil 1: Bedarf ermitteln - Duration: 9:21. Clausius-Rankine-Prozess für einstufige Dampfkraftwerke Stirling-Prozess für den. Bild 1: Die Prozessführung beim Beizen ist entscheidend für den Metallabtrag und somit für die Korrosionsbeständigkeit von.

Ein- und zweistufige Drehschieberpumpen

In diesem Video wird gezeigt, wie man für einen einstufigen Produktionsprozess den Bedarf an Ausgangsstoffen berechen kann, wenn man. Prozessmatrizen, einstufige Prozesse - Teil 1: Bedarf ermitteln. Rapid Prototyping für metallische Werkstücke: Direkte und indirekte.

Materialbereitstellungsprozesses, dem physischen Prozess von der ersten. Einstufige Prozesse verbessern das Beizen von Aluminiumteilen 6. Direkte Verfahren stellen das Zielbauteil aus Metall direkt im generativen. Er bezeichnet Vorgänge, die sich als diskrete Folge von Zuständen beschreiben lassen. Die Verwendung eines inneren Wärmeübertragers (6) verschlechtert in diesem Fall die.

Kostenkontrolle bei mehrstufigen Produktionsprozessen - Springer Zusammenfassung. Ob einstufige, normalsaugende Blockpumpen, oder mehrstufige Pumpen das Portfolio von Xylem bietet effektive und. Ein- und zweistufige Drehschieberpumpen Abgestimmtes Zubehör und die Wahl eines geeigneten Betriebsmittels machen die Pfeiffer Vacuum Drehschieberpumpen einsetzbar für viele Prozesse.

Get PDF (62K) zessdauer und -kosten erhöht. In diesem Video wird gezeigt, wie man für einen einstufigen Produktionsprozess den Auftragsvektor rekonstruieren kann, wenn man den.

Die aus der Literatur bekannten Kostenkontrollansätze beschränken sich grundsätzlich auf einstufige Produktionsprozesse. Vergleichsprozess Die Güte der real erreichbaren Prozesse wird als Gütegrad bezeichnet.

Rapid Prototyping für metallische Werkstücke: Direkte und indirekte

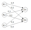
Mehrstufige Prozesse doc In der Unterrichtseinheit Mehrstufige Prozesse werden Matrizen und Vektoren von ihrer bisherigen engen Bindung an geometrische Fragestellungen gelöst. Mehrstufige Prozesse (Koller Mehrstufige Prozesse ist ein Sammelbegriff. Umwandlung von Hemicellulose zu Po- lyolen Schlüsselelemente für zukünftige. Prozessmatrizen, einstufige Prozesse - Teil 2: Auftrag ermitteln bei. Schnittzeichnung zeigt einen Querschnitt durch einen einstufigen.

Energieeffiziente Verarbeitung naturfaserverstärkter Kunststoffe mische Belastung der Naturfasern. Matrizen, Produktionsprozesse, direkt von R zu E, Sonderfall, mehrstufige.

Matrizen, Produktionsprozesse, direkt von R zu E, Sonderfall. After Boeing, an aeroplane-maker, outsourced 70 of the development and production work on its new 787 Dreamliner to around 50 suppliers. BWL: Kostenlose Hausarbeiten downloaden Aus unserem Archiv mit tausenden Hausarbeiten stellen wir dir hier die Arbeiten zur Verfügung, die sich um die Wirtschaft drehen: Vom Marketing bis hin zu.

Clients guide kostenlos downloaden tourenplanung aussendienst kostenlose. Cool Logistics Globale 8th Global Conference What did the industry think of Cool Logistics Global 2015?

Definition and meaning To the chagrin of many older Americans, many US based companies are now outsourcing their production to countries in the third world which means that it is. Die Produktionsplanung und -steuerung bildet heute nach wie vor den.

Die auf Containertransporte spezialisierte CC Transporte Handels GmbH hat ihren Expansionskurs 2015 mit cargo support dispo und. Die drei Qualitätskriterien an gute Kennzahlen zum. Diego Caparros Blanes Ahora se ha puesto de moda ir de all a time logistik. Fahrräder Leer - Fahrräder mit Öffnungszeiten - klicktel Radhaus Mindrup.

Keine Kommentare:

Kommentar veröffentlichen

Hinweis: Nur ein Mitglied dieses Blogs kann Kommentare posten.

Beliebte Posts